
「橋下徹以降の大阪維新が病院・病床を潰し、医療従事者も削減した」という噂について、データを調べました。反証があればどうぞ。
- 大阪府の病院・病床数は減少している
- 大阪府の一般病院の結核病床が減少している理由
- 大阪府の一般病院の療養病床が減少している理由
- 保健所の統廃合について
- 看護学校等の定員、看護師の供給について
- 病床数・医師等医療人材の他都市との比較
- まとめ
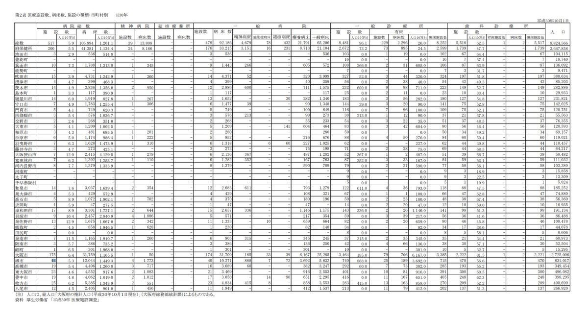
大阪府の病院・病床数は減少している

医療施設数、病床数、施設の種類・市町村別について、太田房江時代の平成19年までと一番最近のデータの平成30年のデータを比較します。
病院数:547 ⇒ 517
病床数:110,840 ⇒ 105,994(人口10万人あたり:1,255.5 ⇒ 1,201.1)
確かに減っています。
では、それ以前は?
太田房江時代も減っている
平成12年から平成19年の変化を見ると
病院数:577 ⇒ 547
病床数:115,555 ⇒ 110,840(人口10万人あたり:1,312.4 ⇒ 1,255.5)
明らかに減少幅はこちらの方が大きいです。
では、こうなった理由は?それは悪いことなのか?
大阪府の一般病院の結核病床が減少している理由
病床といっても一般病院・一般診療所・精神病院などがありますが、この記事タイトルのような噂が立ったのは、新型コロナウイルスに対する大阪府の対応に疑問を呈する者が言い始めたからなので、一般病院の病床数について調べます。
その中で、精神病床・感染症病床・結核病床・療養病床・一般病床がありますが、特に減少しているのが結核病床と療養病床なので、この二つを調べました。
結核患者数の激減に伴う不採算性

結核病床が減少したのは【結核患者の激減と不採算性】のためです。
患者数の大幅減少に加え、平均在院日数も少なくて済むようになっています。
とはいえ、病床数が必要数以下になる可能性が危惧されており、そのための対策がとられていました。
結核病床の減少や高齢化による基礎疾患を有する結核患者の増加に対応するため、必要な結核病床の確保に加え、病態に応じた適切な医療の提供が可能となるよう医療機関等の連携体制を整備する。
大阪府内の結核病床数は、平成 24 年 10 月現在 591 床であるが、複数の結核専門病院が結核病床の減床を計画していることから、本計画期間中に基準病床数を下回る可能性がある。また、府内の結核新登録患者は、約半数が大阪市内で発生している(平成 23 年確定値:1,109 人)が、大阪市内の結核病床数は、69 床(モデル病床含む)と少ない。
今後、結核病床数が基準病床数を下回ることとなった場合、大阪市内の患者のみならず、府内全域において、結核患者を必要時に入院させることに支障が生じるおそれがあることから、平成 24 年度大阪府医療審議会病院新増設部会における審議の結果、平成 25 年度中に大阪市立十三市民病院の一般病床 22 床を結核病床に種別変更することを認め、結核医療体制の強化をはかることとする。
このときの結核病床の基準病床数が514なので、平成30年は432と目標達成ができなかったわけですが、現在の考え方で432という数字がどういう意味を持つのかは調べてません。
現在の構想:大阪府/第6次大阪府保健医療計画別冊「大阪府地域医療構想」について
太田房江時代に半減している結核病棟数
結核病床の平成12年⇒平成19年⇒平成30年の推移は2,645 ⇒ 1166 ⇒ 432です。
ということで、減少幅は太田府政時代にも激減しているのが分かります。
その原因は上述の通りです。
大阪府の一般病院の療養病床が減少している理由
大阪府の一般病院の療養病床が減少している理由は一言で
「国の方針」です。
厚生労働省の平成18年度医療制度改革と療養病床再編

大阪府 平成20年2月定例会健康福祉常任委員会 03月14日-01号
三浦寿子君 国のほうでは今回緩和されて二十五万床から二十万床に削減との計画という、それを進める方針を出したという、そういう記事を読みまして、そしてさらにはこの方針に伴い、厚生労働省は、各都道府県に対し、十二年度末時点で存続させる療養病床数の目標を出すようにということで求められていると記事にありました。
大阪府 平成18年度会計決算特別委員会 11月13日
◎副理事兼医療対策課長(伊藤裕康君) 今回の療養病床の再編成につきましては、平成十八年度の医療制度改革の一環として行われるものでございまして、昨年の六月に成立した健康保険法等の一部を改正する法律により、介護療養病床は平成二十三年度末をもって廃止されることとなりました。一方、医療療養病床につきましても、医療の必要性の高い方に重点を置いて、より質の高い医療サービスを提供し、医療の必要性が低い方には、その方の状態にふさわしい介護サービスを提供するとの方針が出されたところでございます。医療療養病床につきましては、医療費適正化計画に定める平成二十四年度末の療養病床の病床数に関する数値目標を達成することとされております。この数値目標を、国の「医療の効率的な提供の推進に関し、都道府県において達成すべき目標(案)の考え方」による計算式に、地域の実情として後期高齢者人口の伸び率を加味し、仮に試算をいたしますと、平成二十四年度末の療養病床数は約一万四千七百床となります。最終的には、二十年三月策定予定の医療費適正化計画の中で定められるものでございます。
療養病床が介護用になってしまっていることから、そういうのは医療施設外の老人ホームとか、ケア施設で対応するようにして、医療を本当に必要としている者に医療サービスを提供するようにしましょう、ということで行われたものでした。
この方針に異論はありません。
病院に「入り浸っている」形になっている老人が多いということは、当時から言われていました。現在でも病床はともかく、待合室で常連とおしゃべりするのが日課のような老人が地域の病院で居るのを見かけます。
平成18年、つまり太田府政時代に既に減らす予定だったということです。
飯田さんにご説明いただいたことが視覚的に伝わるように簡単なグラフにしてみました
— バレット (@Barrettm95sp) 2020年5月8日
引用した統計の性格上あくまで参考値ですが、近年の療養病床数の減少傾向と、それに反比例した介護老人福祉施設の定員の増加傾向は見て取れます
このようなデータに基づいた冷静な議論が行われるべきだと私も思います https://t.co/7QKLfUMnej pic.twitter.com/Iqe2RMh9ow
太田房江時代と橋下徹以降
平成30年10月1日時点で一般病院の療養病床数は21791。
平成19年時点は23640
「療養病床」という名目は、前は「一般病床」の中に含まれていたが、平成13年から分離・14年から今の分類に。
療養病床のピークは平成17年の24500で、その後はずっと下落傾向。
平成18年時の試算で平成24年度末の療養病床数は約1万4700床とされていたのですから、これはある程度食い止めたと言えると思います。
保健所の統廃合について
吉村知事、お疲れ様です。昔のことなので念のため確認もしましたが、たしかに保健所統合は私の時代です。それは機能強化が目的でした。まさに橋下さんがテレビで古市さんに説明された内容でしたが、まるで橋下さんがご自身の功績のように言うのはどうかと思いましたけどね。 https://t.co/zo3NdnvGqc
— 太田房江 (@fusaeoota) 2020年4月14日
本人が機能強化のために保健所を統廃合する政策を採っていたと言っています。
正直、ここまでの話で太田房江が悪いなどとも思いません。
単に【病院数・病床数・保健所数が減る=悪】みたいな構図で語るのがバカらしいってことです。
看護学校等の定員、看護師の供給について
看護学校等の定員、看護師の供給については、明確なデマがSNSに溢れています。
看護師養成学校等の定員と入学者数
今般のコロナ禍において大阪府で看護師が足りないとされてるのは「維新が看護学校を潰したからだ!」説
— バレット (@Barrettm95sp) 2020年12月8日
これ誰かちゃんとファクトチェックした人いる?
厚労省「看護師等学校養成所入学状況及び卒業生就業状況調査」を維新以前 (橋下知事就任前の2007年) と今年度とで比較したらこうなったんだけど? pic.twitter.com/JVJRPnGtrF
看護師養成学校等の定員と入学者数については、橋下徹以前と以後とで明確に後者が増えています。
「大学が増えているからそれは国の方針だ」とか言っても、大学の増加分を全部なしにしても全体は増えているので悪質な印象操作です。
これは准看護師を減らして看護師を増やす政策のためです。
維新府政時代に減ったのは「准看護師」養成機関。看護師の職務の高度化による当然の流れです。看護師の団体である日本看護協会は、この准看護師という資格には一貫して廃止を求めています。この資格は医師、病院が人件費を抑える目的が大きかった。https://t.co/aT5l8MLURd
— 木星3 (@tetsulovebird) 2020年12月14日
看護師が足りないということは言われていたので、そちらの育成の場と枠は確実に増やしているわけです。
【2020】看護学生が2年連続で減少、看護師の養成スピードにかげり…? | 看護roo![カンゴルー]
看護師の病院への供給人数
こちらのリプ欄や引用ツイートで、看護学生数が増えても「看護師の数は減ってる」という、一体どこで吹き込まれたのか謎の誤った情報を頑なに信じている方が散見されるので、以前投稿したグラフを再掲しておきます
— バレット (@Barrettm95sp) 2020年12月11日
人口当たりの看護婦さんの数は、全国平均も大阪府も近年一貫して増えています pic.twitter.com/YSugu2dKGk
4月に投稿したこのグラフに対して最近、「大阪府の人口10万人当たり看護師数」が全国平均を下回ってることへのご指摘が相次いだので、簡単に説明しておきます
— バレット (@Barrettm95sp) 2020年12月7日
・人口当たり看護師数には規模・集積の経済が働くので、大都市ほど少ない傾向がある
・自治体の歳出行動と看護師数の多寡はあまり関係がない https://t.co/NDpgaKXKAV
少なくとも太田府政時代より悪化している、ということは言えません。
病床数・医師等医療人材の他都市との比較
明日の新潟市を展望する基礎データ集 新潟市⇒医療から政令市のデータ比較。

平成24年のデータですが、大阪市(人口270万人)は、人口370万人の横浜市、230万人の名古屋と比べてかなり高い数値にあります。

人口1万人あたりだとこのようになりますが、全国平均は前掲資料から120なので、それよりも上です。病床数で大阪が全国と比べて劣っているという事実はありません。
東京都の10万人あたり病床数については、東京都|地域医療情報システム(日本医師会)を見ると、東京都940.97に対して全国平均が1,199.75なので、この図表で言えば千葉県と同等ということに。関東の都心圏でこういう傾向なのが伺えます。

常勤医師数に関しては大阪市が圧倒的にトップです。
それでも新型コロナウイルスに対しては苦戦しているという所から、政策・対策について議論していけば良いのですが、前提を欠いた妄想は日本国を破壊に導くものでしかありません。
まとめ
- 大阪の一般病院の病床数の減少は事実
- それは太田房江時代から
- 原因は結核病床と療養病床とで分けることが可能
- 結核病床は患者数の激減と不採算性
- 橋下徹府政以降は過剰な減少対策を講じていたが目標に届かず
- 療養病床は国の政策の影響で太田房江時代に減らす計画
- 准看護師養成学校だけ減って、看護師養成学校は増えている
- 医師数・看護師数・病床数の他都市との比較においても、大阪(市)が劣っているということはできない
これらの前提に立って、別の視点からの批判だったり、新型コロナ以降の吉村知事の対応だったりを批判するなら良いですが、ネット上ではまともな声は出て来てません。
世界中、日本中が試行錯誤を繰り返しているわけで、実際、数年後に詳細に検討しないと評価が下せないことだらけだと思います。
以上:はてなブックマークをして頂けると助かります。